

篠原です。
長いこと放置してました、ほんとごめんなさい。
さて、この春から笠岡駅の駅前に新教室『萌昇ゼミnext笠岡教室』が爆誕しました!
一体どんな教室なのか?nextとはなんなのか?詳しくはこちらの記事をご覧ください!
この新しい教室で生徒の皆さんに会えるのを楽しみにしています!
2026高知大学
なんか解くか…
今回は2026高知大学から1問

丁寧な誘導に乗っていきましょう
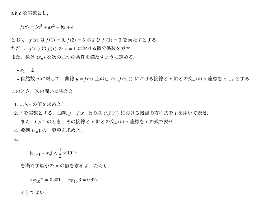
以下、解答(1と2)

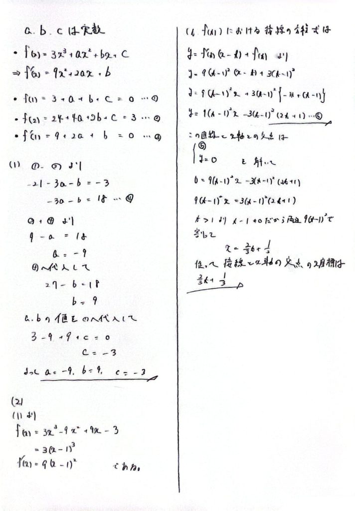
2ではf(x)=3(x-1)3に気づけると接線の方程式を求める際に楽ができますね!
立方完成についても記事を書きたいな…
更に解答(3と4)

3の冒頭では2のtと同条件にするべく,xn>1であることを示してます
帰納的に直ちに導かれる事実なので無くてもいいかなとも思います
<感想>
これは落とせませんね
一切悩むことなく最後まで駆け抜けたい問題です
アイス
アイスです

←↑→↓アイス
ア イ ス

コメント